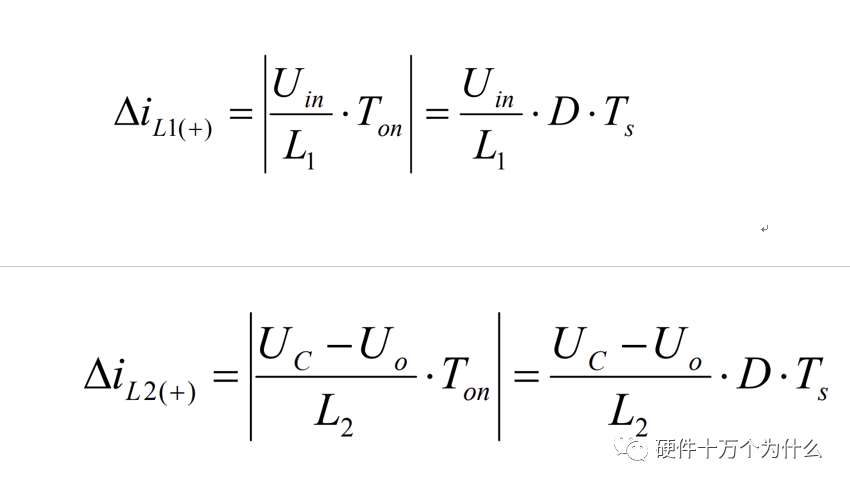
Cuk电源也称Cuk变换器。1980年左右,美国加州理工学院Slobodan Cuk提出的对Buck/Boost改进的单管不隔离直流变换器,由于其它几种具有降压功能的变换器输入或输出电流是断续的。 Cuk 变换器,它的输入与输出均有电感,即输入输出电流均连续,因此,Cuk 变换器不仅是一种具有学术研究价值的 DC/DC 变换器,在特定领域中,Cuk 变换器也是一个很具创意、应用价值很高的变换器拓扑。在输入输出段均有电感,可以显著减小输入和输出电流的脉动,输出电压的极性和输入电压相反,输出电压既可以低于也可以高于输入电压。在某些特殊场合中, 对输入输出电流噪声要求非常严格,这就必须使输入输出电流在上升和下降的过程中不 会中断,大多数拓扑(正激变换器、反激变换器、Buck变换器、推挽变换器和桥式变换器等)通过在输入和输出端加上滤波器达到这样的效果的,需要增加很多的成本和额外的器件体积。1. Boost变换器和Buck变换器串联演变成Cuk的过程 Cuk变换器可看做是Boost变换器和Buck变换器串联而成,合并了开关管,如图8.1所示。 图 8.1 两开关Boost-Buck电路演变成Cuk的过程 在a)中,S1和S2是同步的,并且具有相同的占空比D。可以看成S1和S2是同步的开关,则变成了b)。 通过允许输出电压是反极性的,则单刀双掷,演变成了c),两种开开关状态,c)和b)是一样的。 实际电路,把理想开关换成实际的开关管及二极管。 图 8.2 开关管导通时及关闭时,电流的流向 2. Cuk电源工作原理 Cuk 变换器也是具有升降压型功能的变换器,原理图如图8.1所示,波形图如图8.2所示。Cuk变换器由开关管Q、二极管 D 、储能电容器C1 、电感 L1 , L2 和输出滤波电容 器Cout 构成。 图 8.3 Cuk变换器原理图 在Cuk 变换器中,当开关管Q处于导通状态时,输入电源Vin 经开关管Q给 L1充电,同时C1 经开关管向输出提供电能,并向 L2充电。当开关管Q 处于截止状态时,输入电源Vin 和 L1既向耦合电容器C1充电,同时 L2经过 D 向负载传递能量。Cuk 电路的输入输出关系为: Cuk 变换器可以看作为升压变换器和降压变换器的组合,它保持了 Boost 变换器输 入电流连续和 Buck 变换器输出电流连续的优点,因此兼具输出电压纹波小和对输入端电压。影响小的优点。 图 8.4 Cuk变换器各点波形 如果把开关和二极管等效于一个单刀双掷开关,其等效电路图如图8.5所示。 图 8.5 Cuk变换器等效电路 开关Q1导通时,S合向B点,二极管截止,MOSFET导通;开关Q1关断时,S合向A点,MOSFET断开,二极管续流。 (1)Cuk的电流连续模式 CCM(Continuous current mode) 开关管导通阶段:Q导通期间,从0~Ton这个时间段 ,如图 8.6 所示,MOSFET等效于短路,二极管等效于短路。 图 8.5 Cuk变换器MOSFET导通时等效电路 在t = 0 时,开关管Q导通,Cuk 变换器以开关管Q为界分为两个回路。左边回路中, 输入电压Vin 向电感 L1充电,电感 L1的电流 iL1升高。同时右边回路中,耦合电容C1通过电感 L2 向输出传递电能,即电容器C1 放电,并将多于输出的电能储存在电感 L2 中,电感 L2 的电流 i L2升高。二极管 D 在输出电容的电压VCout 作用下反偏,二极管D反向截止。 电感 L1和 L2 的电流全部流经开关管Q。输入输出回路的电压平衡方程式分别为: 当 t = Ton时刻,电感 L1和 L2上的电流分别达到最大值 IL1max与IL2max,其增长量D i L1(+)和D i L2(+)分别为: 开关管关闭阶段:开关管MOSFET即Q 截止,从Ton ~Ts 这个时间段,如图 所示 图 8.5 Cuk变换器MOSFET截止时等效电路 在 t = Ton时,开关管Q 关断,二极管 D 续流,Cuk 变换器以二极管 D 为界分为两个回路。左边回路中,输入电压Vin 与电感 L1共同向电容器C2充电,其中电感L1提供输入不足的部分,即电感 L1放电,电感 L1的电流iL1下降。同时右边回路中,电感 L2 经二极 管 D 向输出传递电能。电感 L1和 L2的电流全部流经二极管 D 。输入输出回路的电压平衡方程式分别为 当t = Ts 时刻,电感 L1和 L2上的电流分别达到最小值 IL1min与IL2min。在开关管Q 截 止期间,其减小量D i L1(-)和Di L2(-)分别为: 在t = Ts时,开关管Q 又导通,变换器开始下一个开关周期。 Cuk 变换器稳态工作状态,开关管Q处于导通状态期间,L1和 L2 上的电流iL1和iL2 的增长量 DiL1(+)和 DiL2(+)与在开关管Q 处于截止状态期间的电流减小量 DiL1(-)和 DiL2(-)相 等。 开关管Q 和二极管 D 在截止时所承受的电压应力为: (2)Cuk的电流连续模式 DCM(Discontinuous current mode) 当减小输出电流Iout时,由于不计损耗,输入电流I in 也减小。当输出电流 Iout小到某 一值时,电感 L1的电流最小值 I L1min = 0 ,但此时电感 L2 的电流最小值I L2min > 0 ,因此二极管电流仍大于零,变换器还处于电流连续工作状态;继续减小输出电流 Iout 时,某一时刻电感 L1的电流小于零(电感 L1电流出现负值表示 电流反向流动,这是由于耦合电容器的储能导致的),当电感 L1电流负值的最大值的绝对值与电感 L2 电流的最小值正好相等,即二极管电流为零,且此时恰好 t = Ts ,变换器 工作在电流临界连续工作状态;进一步减小输出电流 Iout时,当t = Ts ¢ 时二极管电流刚刚为零,之后从 Ts t=Tts ' 期间, 电感 L1 的电流维持不变,为I L1min ;电感 L2 的电流也维持不变,为 I L2min。 3. Cuk的优缺点 Cuk 变换器在此方面拥有其他类型电路拓扑无法比拟的优势: (1)Cuk 变换器的输入电流与输出电流是连续的,非脉动的。并且当增大两电感 的感量或者提高变换器频率时,能够使得变换器的交流纹波任意小。 (2)Cuk 变换器的占空比理论上能够在 0~∞间变化,即能升压,也能降压,可以 拓宽变换器的使用范围。 (3)开关周期的整个期间,Cuk 变换器都能够从输入向输出传递功率,效率高。而其它变换器传递功率仅能在开关管开通或关断的一个时期。 (4)Cuk 变换器开关管导通期间,开关管使输入端进入的干扰短路;在开关管关 断期间,二极管使其输入干扰短路。因此,电网端进入的干扰对 Cuk 变换器的输出电压影响非常小,小到可以忽略的程度。 缺点: 1.Cuk电路需要两个电感和一个电容(不包括滤波电容)。 2.Cuk电路输出的是负电压。 3.Cuk电路使用电容作为储能元件,提供的电流比较小。 这些特点决定了它不会很常用。 |





