|
数据与质量,不是”速度与激情“。。。
GRR-测量系统的重复性和复现性,顾名思义 GRR是检测和验证我们的测量系统的。
我们先来谈谈通常的GRR也就是 Full GRR怎么测试的, 数据怎么收集的。首先我们会选择30颗sample, 数据收集的过程中有哪些秘密呢?
1,loop测试时,也就是repeatability数据收集时 loop 的delay时间要足够的长一般来说要15倍的测试时间,
2,测试机做diagnostic。有些人可能会说要做calibration,这个我觉得不一定需要,因为我们本身就要验证测试系统,
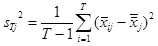
3,不同的setup可以分成几天去取data,只要也考量了测试机的时间漂移,当然前提是测试环境(温湿度什么的)要一致, 那GRR是怎么运算的呢? D = DUT的数量, T = SETUP的次数, R = 重复(loop)的次数。 i = 1, 2, …, T = i为第几次setup, x j = 1, 2, …, D = j为第几颗DUT k = 1, 2, …, R = K为重复测试的第几次测试
repeatability 的方差计算:
reproducibility 的方差计算:
最终
考虑到通常SETUP的数量都很少,通过少量的独立样本得出来的
c4的大小和setup的次数有关,我们上面提到的SETUP是8,如下图所示c4对应的值是0.9656. c4的公式是:
在n>25时,c4约等于4(n-1)/(4n-3)。当n>25时,c4通常当做1来对待。
3* GRR运算的秘密是什么呢?
1,GRR%不一定是越小越好,当你的GRR%小于0.1%或1%时,你就要考虑为什么会这么小,是不是test limit设的太宽?
2,GRR所有的分析是基于参数的数据是正态分布的情况下进行的,如果你的数据不是正态分布,那么你的测试有问题或者本身就是如此。
3,有些参数要选择合适的单位,有些测试参数的单位为dB。而我们知道dB的运算是通过log换算的, 如下的列子中就可以看出问题出现了。UCL-GB,UCL=-80dB,GB=3*0.8689dB. log(x/y) = log(x) – log(y) y*log(x) = log( x y ). –80 dB – 3*0.8689 dB = 20*log(1e-4) – 3*20*log(1.10521) = 20*log(1e-4) – 20*log(1.105213 ) = 20* log( 1e-4 / 1.10521 3 ) = -82.6068 dB. 所以这种参数最好设置成V/mV,uV/V这些类似的格式。 Guard band可以理解为整个测试系统的ERROR,通过卡紧limit从而确保产品的质量。所以新的LIMIT是 原来的limit左右各缩紧一个GB。 GRR已经基本说的差不多了,后面有补充的话再来修改。 通过GRR数据的收集过程我们可以看出它的过程比较繁杂,那么有没有更简便的方法呢? 除了测试系统产生的ERROR需要通过Guard Band来保证质量,那还有没有其他的ERROR需要管控?
2个问题的答案是当然有。下次有空再写。。。 |





= device j 的reproducibility 的方差


