欢迎光临专业集成电路测试网~~欢迎加入IC测试QQ群:111938408
注册
|
登录
|
高级搜索
|
网站地图
|
[
设为首页
] [
加入收藏
]
网站首页
测试工程
测试理论
测试实例
测试设备
相关技术
经验分享
测试研讨会
测试论坛
业界新闻
职业规划
拓展业务
关于我们
搜索
检索标题
智能模糊
搜索
热门标签:
TR6850
eeprom
ASL1000
IDDQ
LCD driver
ACCOTEST
Kalos
FA
csp测试
封装测试
当前位置:
网站主页
>
测试设备
>
一文了解LDO
时间:
2023-05-29 10:31
来源:
芯路芯语
作者:
ictest8_edit
点击:
次
LDO,英文全名是Low Dropout Regulaor,顾名思义就是低压差线性稳压器,属于线性电源。为线性的稳压器,仅能使用在降压应用中,也就是输出电压必需小于输入电压。
LDO=low dropout regulator,低压差+线性+稳压器。
“低压差”:
输出压降比较低,例如输入3.3V,输出可以达到3.2V。
“线性”:
LDO内部的MOS管工作于线性电阻。
“稳压器”:
说明了LDO的用途是用来给电源稳压。
我们从上面的拓扑图可以看出,LDO内部主要是基准参考电压、误差放大器、分压取样电路和MOS管调整电路。
LDO内部基本都是由4大部件构成,分别是分压取样电路、基准电压、误差放大电路和晶体管调整电路。
分压取样电路---通过电阻R1和R2对输出电压进行采集,误差放大电路---将采集的电压输入到比较器反向输入端,与正向输入端的基准电压(也就是期望输出的电压)进行比较,再将比较结果进行放大,晶体管调整电路---把这个放大后的信号输出到晶体管的控制极(也就是PMOS管的栅极或者PNP型三极管的基极),从而这个放大后的信号(电流)就可以控制晶体管的导通电压了,这就是一个负反馈调节回路。晶体管输出电压就是输入电压减去导通电压,因此控制了导通电压就相当于控制了LDO的输出电压了。当输出电压与基准电压相差较大的时候,比较器输出信号变强,从而晶体管压降变小,输出电压变小,从而基准电压与输出电压变得更加接近。
LDO的基本原理
低压差线性稳压器(LDO)的基本电路如下图所示,该电路由串联调整管VT(PNP晶体管,注:实际应用中,此处常用的是P沟道场效应管)、取样电阻R1和R2、比较放大器A组成。
低压差线性稳压器基本电路
取样电压Uin加在比较器A的同相输入端,与加在反相输入端的基准电压Uref(Uout*R2/(R1+R2))相比较,两者的差值经放大器A放大后. Uout=(U+ - U-)*A 注A為比較放大器的倍數,)控制串联调整管的压降,从而稳定输出电压。当输出电压Uout降低时,基准电压Uref与取样电压Uin的差值增加,比较放大器输出的驱动电流增加,串联调整管压降减小,从而使输出电压升高。相反,若输出电压Uout超过所需要的设定值,比较放大器输出的前驱动电流减小,从而使输出电压降低。供电过中,输出电压校正连续进行,调整时间只受比较放大器和输出晶体管回路反应速度的限制。
应当说明,实际的线性稳压器还应当具有许多其它的功能,比如负载短路保护、过压关断、过热关断、反接保护等,而且串联调整管也可以采用MOSFET。
LDO的典型应用
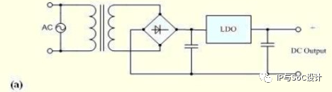
低压差线性稳压器的典型应用如下图所示。下图所示电路是一种最常见的AC/DC电源,交流电源电压经变压器后,变换成所需要的电压,该电压经整流后变为直流电压。在该电路中,低压差线性稳压器的作用是:在交流电源电压或负载变化时稳定输出电压,抑制纹波电压,消除电源产生的交流噪声。
各种蓄电池的工作电压都在一定范围内变化。为了保证蓄电池组输出恒定电压,通常都应当在电池组输出端接入低压差线性稳压器,如下图所示。低压差线性稳压器的功率较低,因此可以延长蓄电池的使用寿命。同时,由于低压差线性稳压器的输出电压与输入电压接近,因此在蓄电池接近放电完毕时,仍可保证输出电压稳定。
众所周知,开关性稳压电源的效率很高,但输出纹波电压较高,噪声较大,电压调整率等性能也较差,特别是对模拟电路供电时,将产生较大的影响。在开关性稳压器输出端接入低压差线性稳压器,如下图所示,就可以实现有源滤波,而且也可大大提高输出电压的稳压精度,同时电源系统的效率也不会明显降低。
在某些应用中,比如无线电通信设备通常只有一足电池供电,但各部分电路常常采用互相隔离的不同电压,因此必须由多只稳压器供电。为了节省共电池的电量,通常设备不工作时,都希望低压差线性稳压器工作于睡眠状态。为此,要求线性稳压器具有使能控制端。有单组蓄电池供电的多路输出且具有通断控制功能的供电系统如下图所示。
输出电压计算方式在上面是有的,但是注意是换成了下面的电阻R2除以上面的电阻R1,正好和上面的DCDC典型电路相反,请注意两者的区别。
注:
LDO和DCDC的反馈电阻取值不同,请注意DCDC反馈电阻取值一般是 KΩ 级别,但是LDO的反馈电阻一般是 百Ω 级别,因为LDO对于反馈引脚电流有要求。
LDO工作原理
首先分压取样电路两个电阻分压对输出电压进行采集,误差放大电路将采集的电压输入到比较器反向输入端,与正向输入端的基准电压(也就是期望输出的电压)进行比较,再将比较结果进行放大。
MOS管调整电路把这个放大后的信号输出到MOS管的栅极,从而这个放大后的信号(电流)就可以控制MOS管的导通电压了,这就是一个负反馈调节回路。
MOS管输出电压就是输入电压减去导通电压,因此控制了导通电压就相当于控制了LDO的输出电压了。
当输出电压与基准电压相差较大的时候,比较器输出信号变强,从而MOS管压降变小,输出电压变小,从而基准电压与输出电压变得更加接近。
从LDO工作原理我们可以得知,LDO只能降压。
举例
通过对于LDO的进一步了解,我们知道LDO一般应用于输入输出压差小,输出电流小的应用场景,这样才能发挥LDO的优势,同时使用时还要重点注意压降、耗散功率等参数,保证电路可以按预期正常工作。
上图中的LDO芯片,内部为一个P-MOS+一个运放+2个电阻
因此上图LDO核心架构:P-MOS+运放,通过芯片内部已经设置好的电阻来达到调节P-MOS的输出,而得到该芯片的输出电压。
上图中的LDO工作原理就一句话:通过运放调节P-MOS的输出。
LDO的特点
1.外围电路简单,价格便宜
LDO在使用的时候,非常方便,除了输入、输出端加上滤波电容,不需要其他外围器件,而一般的DCDC模块在使用时要电感、电容、二极管等外围器件组合,且布局也需要特别讲究,否则使用效果不尽人意。
LDO芯片一般都比较便宜,且不需要很多外围器件,非常适合低成本方案。
2.效率较低
使用LDO时,需注意输入电压与输出电压差不能太大,否则效率会非常低。LDO效率η=(Vin-Vout)/Vin,比如输入电压Vin为24V,输出电压Vout3.3V,计算得出效率η=13.75%,效率很低。所以使用LDO时,尽量控制输入输出电压差。
3.噪声低、纹波小
因为其原理为线性调节方式,所以不会产生开关噪声,同时电路纹波也很小。
LDO的主要参数
1.输出电压(Output Voltage)
输出电压是低压差线性稳压器最重要的参数,也是电子设备设计者选用稳压器时首先应考虑的参数。低压差线性稳压器有固定输出电压和可调输出电压两种类型。固定输出电压稳压器使用比较方便,而且由于输出电压是经过厂家精密调整的,所以稳压器精度很高。但是其设定的输出电压数值均为常用电压值,不可能满足所有的应用要求,但是外接元件数值的变化将影响稳定精度。
2.最大输出电流(Maximum Output Current)
用电设备的功率不同,要求稳压器输出的最大电流也不相同。通常,输出电流越大的稳压器成本越高。为了降低成本,在多只稳压器组成的供电系统中,应根据各部分所需的电流值选择适当的稳压器。
3.输入输出电压差(Dropout Voltage)
输入输出电压差是低压差线性稳压器最重要的参数。在保证输出电压稳定的条件下,该电压压差越低,线性稳压器的性能就越好。比如,5.0V的低压差线性稳压器,只要输入5.5V电压,就能使输出电压稳定在5.0V。
4.接地电流(Ground Pin Current)
接地电路IGND是指串联调整管输出电流为零时,输入电源提供的稳压器工作电流。该电流有时也称为静态电流,但是采用PNP晶体管作串联调整管元件时,这种习惯叫法是不正确的。通常较理想的低压差稳压器的接地电流很小。
5.负载调整率(Load Regulation)
负载调整率可以通过图2-1和式2-1来定义,LDO的负载调整率越小,说明LDO抑制负载干扰的能力越强。
6.线性调整率(Line Regulation)
线性调整率可以通过图2-2和式2-2来定义,LDO的线性调整率越小,输入电压变化对输出电压影响越小,LDO的性能越好。
7.电源抑制比(PSSR)
LDO的输入源往往许多干扰信号存在。PSRR反映了LDO对于这些干扰信号的抑制能力。
LDO选型需考虑的因素
1.压降(Dropout Voltage)
我们在选型LDO时,除了考虑输入输出电压的范围,还要考虑LDO本身存在压降,这个是由LDO本身结构(MOS管存在导通电阻)导致,这个参数我们很多设计人员都会忽略,最后就会导致电路工作不正常。比如我们常用的AMS1117-3.3,这个LDO最高可以输入15V,输出3.3V,假设我们的输入电压为4.2V,乍一看输入电压在手册规定范围内,同时也高于输出,应该是可以使用的。但是实际使用时,却发现输出电压没有3.3V,大概在2.7V-2.9V左右,这就是设计时忽略的LDO本身存在的压降。
从上图我们看可以知道AMS1117的压降一般1.1V,最大1.3V,因为压降还和电流、温度有关系,所以推荐输 入电压-输出电压≥1.5V,才可以保证电路稳定。
2.最大耗散功率(Power Dissipation)
LDO的耗散功率P=(Vin-Vout)*Iout,假设输入电压Vin24V,输出电压Vout3.3V,输出电流Iout30mA,那LDO的耗散功率P=0.651W,这个功耗全部是通过热量损耗了,所以不推荐LDO用于输入输出压差过大,大输出电流的场景。
如果实在需要使用的话,我们就要考虑LDO芯片能承受多大的功耗了,我们以HT7333-3为例,下图为其不同封装的最大耗散功率,这个最大耗散功率就是这个芯片能承受最大的热功耗,超过就会烧坏。
我们以上面举例的场景下使用HT7333-3的话,那我们就只能选用最下面的8SOP-EP封装了,同时注意电路散热,这样才不至于烧坏LDO芯片。
3.输入电压范围:
稳压器输入端可以输入的电压范围。
4.输出电压:
稳压器输出端的输出电压值。
5.最大输出电流:
稳压器输出端的最大输出电流值。
6.线性调整率:
稳压器输入变化对输出的影响,即在负载一定的情况下,输出电压变化量和输入电压变化量之比。线性调整率越小越好。
7.负载调整率:
是指在给定负载变化下的输出电压的变化,这里的负载变化通常是从无负载到满负载。负载调整率越小越好。
8.电源纹波抑制比(PSRR):
表示稳压器抑制由输入电压造成的输出电压波动的能力。线性调整率只有在直流电时才需要考虑,但是电源抑制比必须在宽频率范围上考虑。PSRR是一个用来描述输出信号受电源影响的参量,PSRR越大,输出信号受到电源的影响越小。
9.瞬态响应:
表示负载电流突变时引起的输出电压的最大变化,它是输出电容及其等效串联电阻和旁路电容的函数。其中输出电容的作用是提高负载瞬态响应的能力,也起到了高频旁路的作用。
10.静态电流:
又叫接地电流,是通路元件的偏流和驱动电流的组合,通常保持尽可能低的水平。静态电流越大,稳压器的效率越低。
DC/DC和LDO的区别是什么?
DC/DC简介
DC/DC 转换器一般由控制芯片,电杆线圈,二极管,三极管,电容构成。DC/DC转换器为转变输入电压后有效输出固定电压的电压转换器。DC/DC转换器分为三类:升压型DC/DC转换器、降压型DC/DC转换器以及升降压型DC/DC转换器。根据需求可采用三类控制。PWM控制型效率高并具有良好的输出电压纹波和噪声。PFM控制型即使长时间使用,尤其小负载时具有耗电小的优点。PWM/PFM转换型小负载时实行PFM控制,且在重负载时自动转换到PWM控制。目前DC/DC转换器广泛应用于手机、MP3、数码相机、便携式媒体播放器等产品中。
由于一般的LDO封装都比DC/DC小的多,并且成本也低得多,因此在很多产所中,我们会使用到LDO来转换我们所需要的电压,当然在选择使用LDO的前提下,是需要满足对噪声的反应和耗电等基本要求的。
两者如何选用
1、
输入电压和输出电压范围
。如果输入输出电压差值很大,此时就应该选择DCDC,效率高损耗低;如果选择LDO器件,随着输入输出压差的增加,器件的效率一直下降,由此带来的问题就是高发热量;
2、
看预算
。相同输入输出电压的LDO可选择时,确认研发以及生产的成本,成本如果可行的话,用便宜的,显然LDO是不错的选择;首先单芯片的价格,DCDC贵,外加滤波电容、储能电感、续流二极管,这些东西可是不便宜的;
3、
空间
。PCB是项目最终需要拿出来的实物,所有的直插式、表贴式元件都是安装在PCB板上的,如果空间足够,看其他要求,有空间问题,LDO占用空间小于DCDC;
4、
看负载规格
。像CPU、GPU、内核电压这种,需要很大的工作电流,此时LDO已经不满足条件了,因为前面说了,负载越大,损耗越多,这是两者的工作原理决定的;
5、
看负载要求
。对于LDO来说,纹波小,稳定;对于DCDC来讲,纹波大;所以想WiFi、蓝牙、GPS等工作需要很小的纹波时,DCDC就派不上用处了,因为电源波动太大,超过IO口电压容忍值,会导致后级负载对高低电平的判断失误;
6、
看输出电压规格
。如果在一个应用中,需要输出多路电源,电源值高于VCC和低于VCC,此时就需要DCDC了,应为DCDC可以利用电感升压,利用电感降压,可以同时满足需求;
7、
看应用环境
。电子电路工作的环境不一致,会导致芯片的表现差异巨大,寿命也会大大缩短,比如湿度、温度等,而产品种类不一致,器件厂商不一致,则产品的使用环境是不一致的,这个需要看需求看电源手册决定。
LDO分类:PMOS与NMOS
常见的LDO是由P管构成的,由于LDO效率比较低,因此一般不会走大电流。针对某些大电流低压差需求的场合,NMOS LDO应运而生。下图是PMOS和NMOS LDO的系统框图对比。
此图为PMOS
此图为NMOS
下面是一个PMOS LDO最基本结构框图。我们可以看到LDO主要由PMOS、运放、反馈电阻和基准参考电压构成。LDO主要工作流程是将输出电压通过分压电阻分压,Va和基准参考电压做比较,通过运放输出Vg来调节输出,反馈回路已用红色轨迹标识出。
下图是一个NMOS LDO的基本框图,NMOS LDO一般也工作在饱和区(特殊时会在可变电阻区),所以Vg要大于Vs,因此NMOS LDO除了有Vin引脚,一般还会有个Vbias引脚来给MOS G极提供高压驱动源;或者只有一个Vin,而内部集成了CHARGE BUMP来为G极提供高压驱动源。大体工作流程同PMOS LDO:当Vout下降时,反馈回路中的Vfb也会下降,误差放大器输出端Vg就会增加,随着Vg增加,Ids电流也增加,最终使得Vout又恢复到指定电平,状态如下:
Vout↓——>Vfb↓——>Vg↑——Iout↑——>Vout↑
顶一下
(0)
0%
踩一下
(0)
0%
------分隔线----------------------------
上一篇:
超级全面的电容知识
下一篇:
分流稳压器TL431/TLV431
发表评论
请自觉遵守互联网相关的政策法规,严禁发布色情、暴力、反动的言论。
评价:
中立
好评
差评
用户名:
验证码:
匿名?
发表评论
最新评论
进入详细评论页>>
本类推荐
分流稳压器TL431/TLV431
一文了解LDO
压敏电阻参数3
压敏电阻参数2
压敏电阻参数
常用电子元器件基础知识
导通电阻
关于电阻,这篇总结得挺全面!
NTC热敏电阻的应用
晶圆测试异常之烧针问题分析研究
热文排行
基于数字IC测试机架构详细讲解测试
ASL1000测试系统资料
半导体测试-中测针卡介绍
中测谈针卡制作深度介绍
DUT电路的设计 -- 当我们谈论DUT时,
chroma相关测试机台介绍
宏邦电子T861集成电路测试设备简介
CHROMA 3380D 超大规模集成电路测试系
JUNO DTS1000测试系统介绍
低成本、高效率8site MOSFET/IC 量产测
相关文章
分流稳压器TL431/TLV431
一文了解LDO
压敏电阻参数3
压敏电阻参数2
压敏电阻参数
常用电子元器件基础知识
LLC电路的谐振工作模态浅析
导通电阻
关于电阻,这篇总结得挺全面!
NTC热敏电阻的应用