欢迎光临专业集成电路测试网~~欢迎加入IC测试QQ群:111938408
注册
|
登录
|
高级搜索
|
网站地图
|
[
设为首页
] [
加入收藏
]
网站首页
测试工程
测试理论
测试实例
测试设备
相关技术
经验分享
测试研讨会
测试论坛
业界新闻
职业规划
拓展业务
关于我们
搜索
检索标题
智能模糊
搜索
热门标签:
TR6850
eeprom
ASL1000
IDDQ
LCD driver
ACCOTEST
Kalos
FA
csp测试
封装测试
当前位置:
网站主页
>
测试理论
>
EMC整改
时间:
2023-05-31 15:58
来源:
硬件笔记本
作者:
ictest8_edit
点击:
次
辐射这东西,看不见摸不着,整改还按小时算,一不小心几万块就没了。不得不说,EMC整改,真难。本文主要分享理论+实际案例,文章篇幅较长,建议先收藏再阅读。
1. EMI源头是什么?
造成EMI问题的辐射源有两类:交变电场(高阻),交变磁场(低阻)。非隔离的DC/DC转换器具有阻抗很低的节点和环路(远低于自由空间的阻抗377Ω,此值为真空磁导率µ和真空中的光速C的乘积,也被称为自由空间的本质阻抗——译注),因而Buck架构DC/DC转换器中主要的辐射源通常是磁场。
磁场辐射是由小型电流环中的高频电流形成的。电流环所生成的高频磁场会在离开环路大约0.16λ以后逐渐转换为电磁场,由此形成的场强大约为 :
其中,f是信号的频率,单位为Hz;A是电流环路的面积,单位为m²;I是电流环中的电流幅值,单位为A;R是测量点距离环路的距离,单位为m。
举例而言,一个1cm²的电流环,其中的电流为1mA,电流变化频率为100MHz,则距离此电流环3m处的场强为4.4µV/m,或说是12.9dBµV。
下图显示了一个流过1mA电流的1cm²电流环所形成的辐射强度与电流变化频率之间的关系,图中绿线是标准容许的3m距离上的辐射强度阈值。
由图可见,由1mA电流在1cm²环路中所形成的辐射并不容易超出规格的限制。现实中造成辐射超标的原因常常是应该极小化的环路变成了大的环路,或者是附加在线路上的导线形成了多余的辐射。这些大回路或导线所形成的天线效应将在总的辐射中发挥主要的作用。
2. BUCK电路的电流回路
Buck架构DC/DC转换器中存在两个电流发生剧烈变化的主回路 :
当上桥MOSFET Q1导通的时候,电流从电源流出,经Q1和L1后进入输出电容和负载,再经地线回流至电源输入端。在此过程中,电流中的交变成分会流过输入电容和输出电容。这里所说的电流路径如图2中的红线所示,它被标注为I1。
当Q1截止以后,电感电流还会继续保持原方向流动,而同步整流开关MOSFET Q2将在此时导通,这时的电流经Q2、L1、输出电容流动并经地线回流至Q2,其回路如图2中蓝线所示,它被标注为I2。
电流I1和I2都是不连续的,这意味着它们在发生切换的时候都存在陡峭的上升沿和下降沿,这些陡峭的上升沿和下降沿具有极短的上升和下降时间,因而存在很高的电流变化速度dI/dt,其中就必然存在很多高频成分。
在上面所述的回路中,电流环I1和I2共同共享了自开关节点→电感→输出电容→地→Q2的源极这一段路径。I1和I2合成起来后就形成了一个相对平缓、连续的锯齿状波形,由于其中不存在电流变化率dI/dt极高的边沿,其包含的高频成分就要少一些。
从电磁辐射的角度来看,图3中存在阴影的A1区域是存在高电流变化率dI/dt的回路部分,这个回路将生成最多的高频成分,因而在Buck转换器的EMI设计中是需要被重点考虑的最关键部分。图中A2区域的电流变化率dI/dt就没有A1区域的高,因而生成的高频噪声也就比较少。
当进行Buck转换器的PCB布局设计时,A1区域的面积就应当被设计得尽可能地小。关于这一点,可以参考第7章的PCB布局设计实战要点。
3. 输入和输出的滤波处理
在理想状况下,输入、输出电容对于Buck转换器的开关电流来说都具有极低的阻抗。但在实际上,电容都存在ESR和ESL,它们都增加了电容的阻抗,并且导致上面出现额外的高频电压跌落。这种电压跌落将在电源供应线路上和负载连接电路上形成相应的电流变化,如下图。
由于Buck转换器输入电流的不连续特性和实际为转换器供电的电源线通常都很长的缘故,输入回路A3所造成的辐射也可能是很可观的,并且可导致超出规格的传导辐射(在150kHz~30MHz频段),不能通过电磁兼容(EMC)的传导测试检验。
为了降低输入电容CIN造成的电压跌落,可在靠近Buck IC的地方放置多种不同尺寸的低ESR的MLCC电容,例如可将1206封装的2×10µF和0603或0402封装的22nF~100nF电容结合起来使用。为了降低输入回路的噪声,强烈建议在输入线上添加额外的LC滤波器。当使用纯电感作为L2时,就有必要添加电解电容C3以抑制电源输入端可能出现的振铃信号,确保输入电源的稳定。
为了对输出进行滤波,也要使用多种不同尺寸的MLCC电容作为输出电容Cout。小尺寸的0603或0402的22nF~100nF的电容可以很好地阻止源于开关切换节点的高频噪声经由电感L1的寄生电容耦合到输出端。额外增加的高频磁珠可防止输出回路变成有效的环形天线,但需要注意的是这方法可能使转换器的负载瞬态响应特性和负载调整特性变差。假如应用中的负载在这方面有严格要求,那就不要使用磁珠,可以直接将转换器尽可能地靠近负载,通过对铜箔的优化布置使环路的面积达到最小化。
4. 降低转换器的开关切换速度
假如通过PCB布局和滤波设计的优化仍然不能让一个Buck转换电路的辐射水平低于需要的水平,那就只能在降低转换器的开关切换速度上想办法,这对降低其辐射水平是很有帮助的。
为了理解这能导致多大程度的改进,我们需要对不连续电流脉冲的高频成分进行一番探讨。图6左侧显示的是简化为梯形了的电流波形,其周期为TPERIOD,脉冲宽度为TW,脉冲上升/下降时间为TRISE。从频域来看此信号,其中含有基频成分和很多高次谐波成分,通过傅里叶分析可以知道这些高频成分的幅度和脉冲宽度、上升/下降时间之间的关系,这种关系被表现在下图的右侧。
上图中的频率值是基于一个具有800kHz频率的开关信号而得出的,该信号的脉冲宽度为320ns,具有10ns的上升/下降时间。
EMI辐射问题常常发生在50MHz~300MHz频段。通过增加上升和下降时间可将fR的位置向低频方向移动,而更高频率信号的强度将以40dB/dec的速度快速降低,从而改善其辐射状况。在低频段,较低的上升和下降速度所导致的改善是很有限的。
在自举电路上增加串联电阻
开关切换波形的上升时间取决于上桥MOSFET Q1的导通速度。Q1是受浮动驱动器驱动的,该驱动器的供电来自于自举电容Cboot。在集成化的Buck转换器中,Cboot由内部的稳压器进行供电,其电压通常为4V~5V。见下图左侧。
通过降低上桥MOSFET开关的导通速度可使Buck转换器开关波形和电流脉冲的上升时间增加,这可通过给Cboot增加一只串联电阻Rboot来实现,如上图所示。Rboot的取值与上桥MOSFET的尺寸有关,对于大多数应用来说,5~10Ω就足够了。对于较小的MOSFET,它们具有较高的Rdson,较大的Rboot值是容许的。在高占空比的应用中,太大的Rboot值可能导致Cboot充电不足,甚至可能导致电流检测电路的不稳定。另外,较低的MOSFET导通速度也将增加开关损耗,从而导致效率的下降。
在MOSFET外置的设计中,电阻可被串接到上桥MOSFET的栅极上,这就可以同时增加上桥的导通时间和截止时间。
当上桥MOSFET Q1被关断的时候,电感电流会对Q1的寄生输出电容进行充电,同时对Q2的寄生输出电容进行放电,直至开关切换节点电位变得低于地电位并使Q2的体二极管导通。因此,下降时间基本上是由电感峰值电流和开关节点上的总寄生电容所决定的。
下图显示出了一个常规设计中的Buck转换器IC中的寄生元件。
这些寄生电容是由MOSFET的Coss和相对于基底之间的电容共同构成的,另外还有寄生电感存在于从IC引脚到晶圆内核之间的连接线上,这些寄生元件和PCB布局所导致的寄生电感与输入滤波电容上的ESL一起将导致开关切换波形上的高频振铃信号。当MOSFET Q1导通时,开关节点信号上升沿的振铃信号主要就由Q2的Coss和MOFET开关切换路径上的总寄生电感(LpVIN + LpGND+ LpLAYOUT + ESLCIN)导致。当MOFET Q1截止时,开关节点信号下降沿的振铃信号主要由Q1的Coss和下桥MOSFET源极到地之间的寄生电感(LpGND)导致。
上图显示了一个具有快速上升时间和下降时间的开关节点波形,其上升沿和下降沿都存在振铃信号。由于寄生电感中的储能等于½∙I2∙Lp,所以振铃信号的幅度将随负载电流的增加而增加。此信号的频率范围通常在200~400MHz之间,可导致高频EMI辐射。过度的振铃信号通常意味着较大的寄生电感,说明需要对PCB布局设计进行检查、修正,以便对环路较大或对VIN和/或地线路太窄的问题予以修正。元件的封装也会影响振铃状况,打线方式的封装会有比晶圆倒装方式的封装更大的寄生电感存在,因为邦定线的电感会大于焊点的电感,其表现就会更差一些。
RC缓冲抑制电路
添加RC缓冲电路可有效地抑制振铃现象,同时会造成开关切换损耗的增加。
RC缓冲电路应当放置在紧靠开关节点和功率地处。在使用外部MOSFET开关的Buck转换器中,RC缓冲电路应当直接跨过下桥MOSFET的漏极和源极放置。下图示范了RC缓冲电路的放置位置。
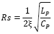
缓冲电阻Rs的作用是对寄生LC振荡电路的振荡过程施加足够的抑制能力,其取值取决于意欲施加的抑制强度和L、C寄生元件的参数,可由下式予以确定 :
其中,ξ是抑制因子。通常,ξ的取值在0.5(轻微抑制)到1(重度抑制)之间。寄生参数Lp和Cp的值通常是未知的,但可通过下述方法进行测量 :
1. 在信号上升沿测量原始振铃信号的频率fRING。
2. 在开关节点和地之间增加一个小电容,这可让振铃信号的频率得到降低。持续增加电容,直至振铃信号的频率降低到原始振铃频率的50%。
3. 降低到50%的振铃信号频率意味着总谐振电容的大小是原始电容量的4倍。因此,原始电容Cp的值便是新增电容量的1/3。
4. 这样就能求得寄生电感Lp的值 :
RC缓冲电路中的串联电容Cs需要足够大,以便让抑制电阻能在电路谐振期间表现出稳定的谐振抑制效果。如果这个电容的值太大,它在每个开关周期中的充电和放电过程就会导致过大的功率消耗。所以,Cs的取值通常以电路寄生电容的值的3~4倍为宜。
除了可以对谐振产生抑制,RC平滑抑制电路还可以轻微地降低开关切换波形上升和下降的速度。除此以外,对平滑抑制电容的充电和放电过程还会导致开关状态变换期间出现额外的开关切换电流尖峰,这可在低频区域引起新的EMI问题。
当使用了RC平滑抑制电路以后,应当确保要对电路的总功率损失进行检查。转换器的效率是必然会下降的,这在开关切换工作频率很高和输入电压很高的时候表现尤甚。
共3页:
上一页
1
2
3
下一页
顶一下
(0)
0%
踩一下
(0)
0%
------分隔线----------------------------
上一篇:
功率器件IGBT 用到的导热材料机理和作用
下一篇:
电路图上的VCC和GND
发表评论
请自觉遵守互联网相关的政策法规,严禁发布色情、暴力、反动的言论。
评价:
中立
好评
差评
用户名:
验证码:
匿名?
发表评论
最新评论
进入详细评论页>>
本类推荐
API Mock 测试深度指南:基础入门到
6个高级的C语言函数指针应用场景
电路图上的VCC和GND
EMC整改
功率器件IGBT 用到的导热材料机理和
想要入门Web自动化测试,先选对框
DCDC芯片输入输出的大电容和小电容
地弹导致DC/DC电源芯片工作异常
一文看懂什么是老化测试
晶圆测试设备的指尖—探针卡
热文排行
关于Cpk的一些知识
芯片测试的几个术语及解释(CP、
浅谈DC/AC SCAN测试
开短路测试基本原理
集成电路芯片测试小结
半导体测试基础
开尔文测试基本原理
集成电路latch up简介
关于wafer测试的一些知识
ADC静态参数INL DNL的定义及其测试方
相关文章
API Mock 测试深度指南:基础入门到
6个高级的C语言函数指针应用场景
电路图上的VCC和GND
EMC整改
功率器件IGBT 用到的导热材料机理和
想要入门Web自动化测试,先选对框
DCDC芯片输入输出的大电容和小电容
地弹导致DC/DC电源芯片工作异常
一文看懂什么是老化测试
晶圆测试设备的指尖—探针卡